UTC
Multi-Sensor Perception with Vector Maps for Autonomous Vehicle Localization
Maxime NOIZET
Supervisors:
Dr. Philippe XU & Pr. Philippe BONNIFAIT
Heudiasyc UMR CNRS 7253
Ph.D. Thesis Defense - Nov. 12, 2024

Maps are necessary for AD
  • Source: Zoox (Youtube)

Localization for AD

Localization for AD

Localization for AD

Problem Statement

  • Problem Statement

  • Multi-modal Automatic Image Annotation

  • Training with Pointwise Automatic Annotations

  • Multi-sensor Localization

  • Conclusion

HD Maps for localization

  • Dense maps
    • 👍 High detail
    • 👎 High storage, limited scalability, sensor-specific
  • Vector maps
    • 👍 Lightweight, sensor agnostic
    • 👎 low detail

Compiegne HD Map

Localization with vector maps

Indiscernible features ⇒ Data association

Indiscernible features ⇒ Data association

Studied AD pipeline



Mapped features detection

Geometric approaches



  • 👍 Limited data needed
  • 👎 Expert tuning
  • 👎 Missdetections, false positives (trunks, corners, …)

Machine learning





  • 👍 Better performance
  • 👍 Less tuning, better genericity
  • 👎 Huge amount of data needed
  • 👎 Labelling

Case study: poles for localization

  • Map for localization
    • Maximize map usage -> poles common in road environments
    • Minimize risks of false detections -> map-specific detection
  • Machine learning for detection
    • Minimize or avoid human labelling
      • Leverage maps for automatic annotation
      • Multi-sensor post-processing for automatic annotation
    • Training with automatic annotations
      • Uncertainty handling
  • Localization using trained detectors without human input

Focus on pole detection with cameras in this presentation

Multi-modal Automatic Image Annotation

  • Problem Statement

  • Multi-modal Automatic Image Annotation

  • Training with Pointwise Automatic Annotations

  • Multi-sensor Localization

  • Conclusion

Map-aided annotation

2D map projection with localization reference



Naive projection








Projection error source

Lidar refinement



Ground estimation and annotation projection
Occluded pole bases removal

Dataset and evaluation metrics







  • Multiple sequences around Compiegne
  • 2,830 images manually annotated
  • 9,017 poles
Precision, recall, horizontal Median Absolute Error (MAE-x)

Map-aided annotation: Results

Method Precision (%) Recall (%) MAE-x (px)
M 84.6 35.9 3.91

Multi-modal annotation



Lidar-based annotation





Initial image
Corresponding point cloud

Lidar-based annotation



Pointcloud segmentation
Ground segmentation (more precise)


X. Zhu et al., “Cylindrical and asymmetrical 3d convolution networks for lidar segmentation”. In Proceedings of the IEEE/CVF conference on computer vision and pattern recognition. 2021.

Lidar-based annotation: Results

Method Precision (%) Recall (%) MAE-x (px)
L 62.6 22.7 2.63

Segmentation-based annotation



Initial image
Segmentation mask





J. Wang et al., “Deep High-Resolution Representation Learning for Visual Recognition,” In IEEE Transactions on Pattern Analysis and Machine Intelligence, vol. 43, no. 10, pp. 3349-3364, 1 Oct. 2021.

Segmentation-based annotation



Ground mask
Ground + pole bases mask





J. Wang et al., “Deep High-Resolution Representation Learning for Visual Recognition,” In IEEE Transactions on Pattern Analysis and Machine Intelligence, vol. 43, no. 10, pp. 3349-3364, 1 Oct. 2021.

Segmentation-based annotation: Results

Method Precision (%) Recall (%) MAE-x (px)
S 40.2 80.7 1.00

Multi-modal annotation results



Method Precision (%) Recall (%)
M | L 64.7 46.2
M | S 39.0 88.1
M | S | L 37.7 88.7
M & L 95.7 18.8
M & S 92.5 36.6
M & S & L 99.0 17.8
Precision improved via intersection, but recall improved via union.
Which strategy for optimal learning ?

Training with Pointwise Automatic Annotations

  • Problem Statement

  • Multi-modal Automatic Image Annotation

  • Training with Pointwise Automatic Annotations

  • Multi-sensor Localization

  • Conclusion

Pole base detection for cameras

  • Pole base detection using object detection
    • Based on YOLOv7 network
    • Bounding box = visual context
  • Automatic annotation: Prone to errors (missed objects, false positives)

Evaluation metrics







  • Precision, Recall
  • Intersection-over-Union (IoU)
  • Average Precision
  • Mean horizontal Absolute positioning Error: MAE-x

Precision-Recall curve

Map-based pole base detection learning





  • Training set: 5391 images
  • Validation set: 2830 images manually annotated
Box 50x50 100x100 150x150 200x200 250x250 300x300 350x350 400x400
AP % 21.2 39.2 42.5 43.2 38.9 38.3 38.4 41.3
MAE-x (px) 4.01 5.84 8.90 10.84 11.76 14.97 18.2 24.30
Limited performance, 200x200 box size chosen.

Multi-modal automatic annotation method for learning

Precision improvement through intersection for low recall.

Uncertainty management

  • Annotations used for training: Intersection of annotation sets
  • Ambiguous cases: Union of annotation sets

Learning with uncertainty management

General improvements with uncertainty management. Exclusion of lidar annotations.

Detection results

  • 200x200 box size
  • M & S with black patches: Precision 90%, Recall 38,5%

Multi-sensor Localization

  • Problem Statement

  • Multi-modal Automatic Image Annotation

  • Training with Pointwise Automatic Annotations

  • Multi-sensor Localization

  • Conclusion

Available detectors

  • Integration to a GNSS + Dead Reckoning sensors system
  • Combinations: F and All
Model M95 MS95 M90 MS90
Precision (%) 95 95 90 90
Recall (%) 4.3 30.4 33.3 38.5

Pole-based localization

  • Camera observations
    • Lack of depth → map features projected into camera frame
    • Use angles for observations and map features in camera frame
    • Pose and calibration errors impact

Data association



  • Avoid wrong associations: gating
  • Hungarian chosen

Nominal scenario





  • Extended Kalman Filter
  • Dead reckoning: 4-wheel speed + yaw rate model
  • GNSS: SPP pose estimation
  • Tightly-coupled cameras
  • 50Hz pose estimation frequency

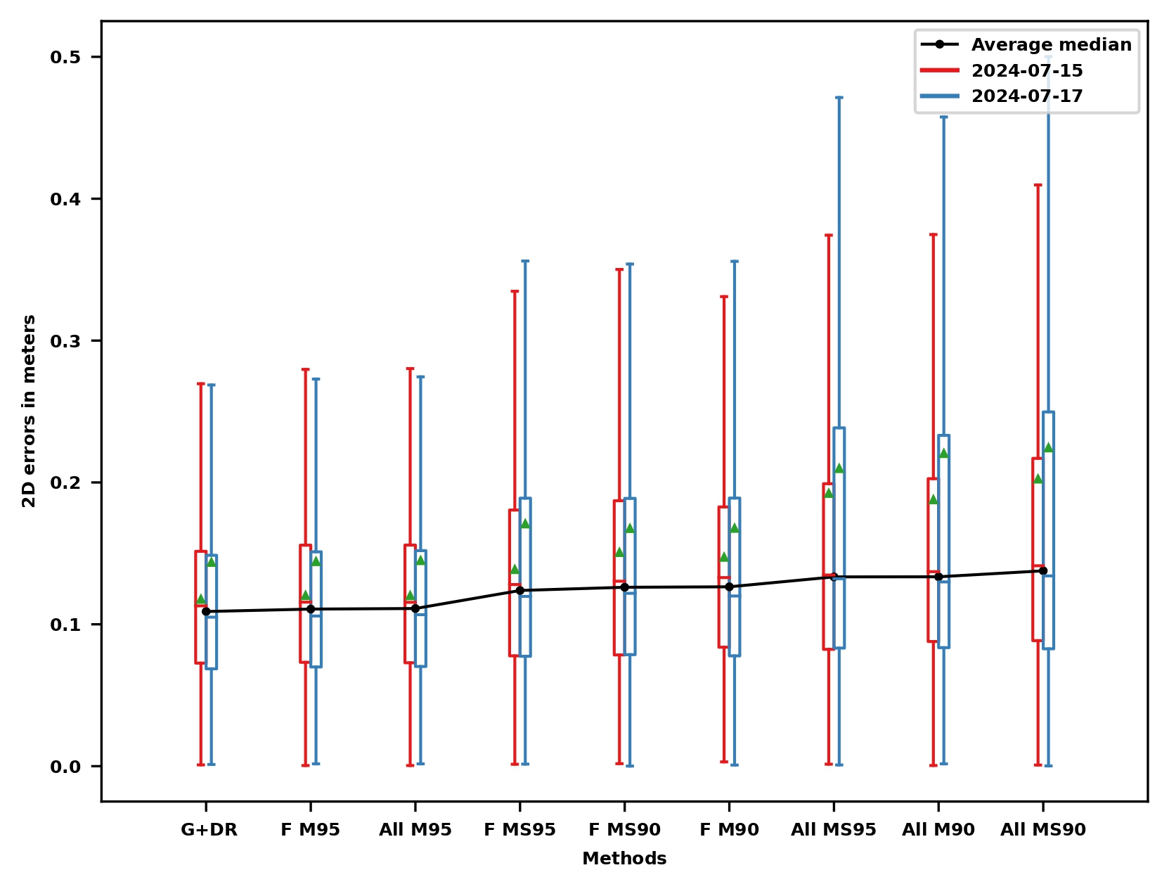
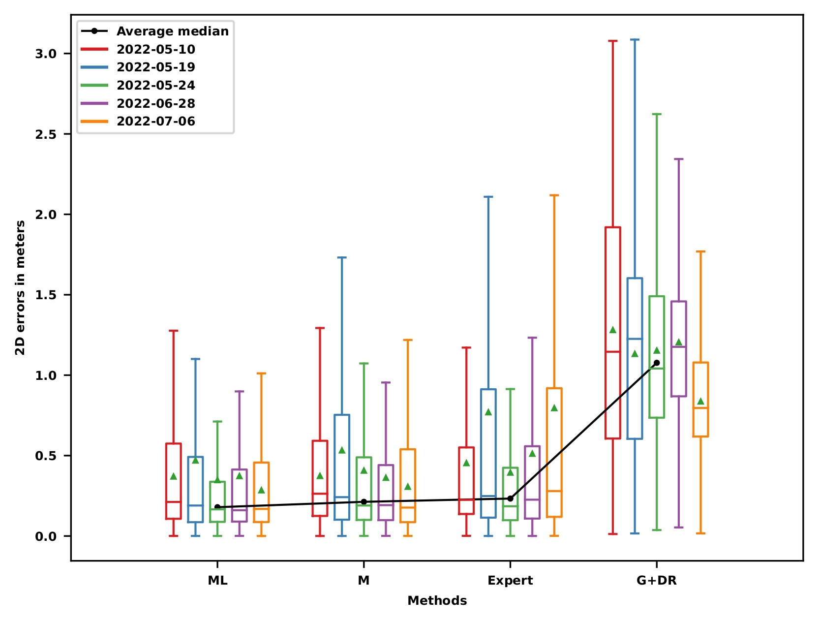
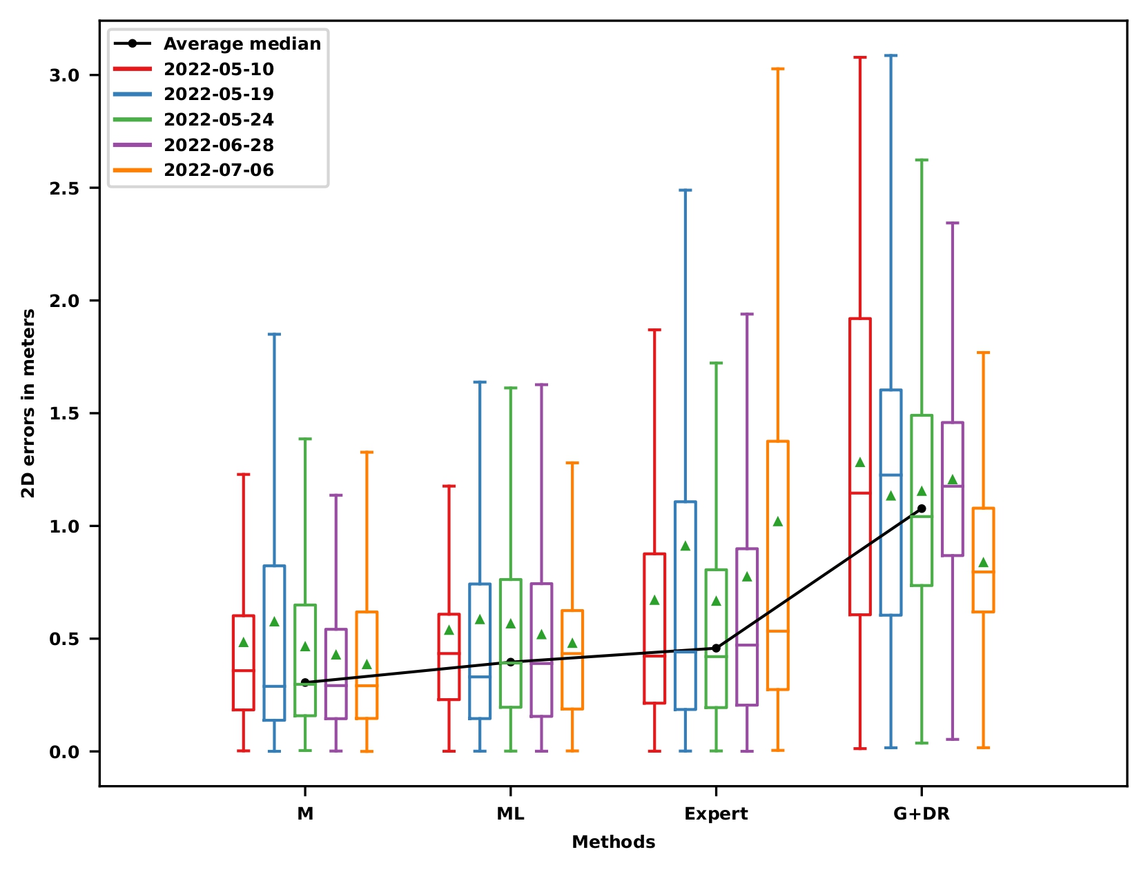
Localization results

Complex for analysis. Different performance across various sequences.

Localization results

Complex for analysis. Different performance across various sequences.

Localization results

General improvements in accuracy (limited). M better than MS, no added benefit from side cameras.

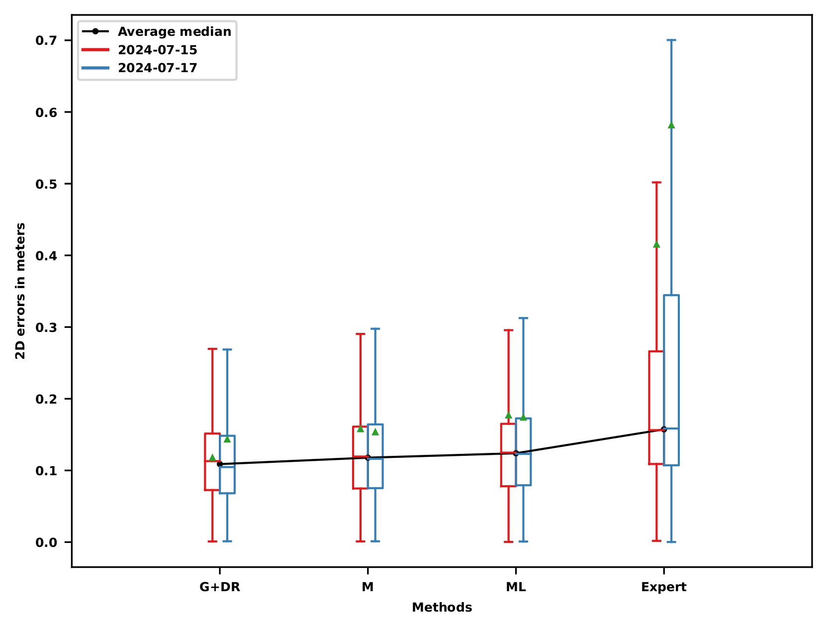
Performance limitations

2022-05-10 with All MS95



Example of detections

Better prior pose for data association improvements

Benefits of side cameras integration. Previously observed limitations mainly due to data association

Conclusion

  • Problem Statement

  • Multi-modal Automatic Image Annotation

  • Training with Pointwise Automatic Annotations

  • Multi-sensor Localization

  • Conclusion

Conclusion





  • HD Vector Maps: prior for annotation and localization. Map-specific detectors.
  • Multi-Modal Annotation: No human cost, infinite data.
  • Genericity: Adaptation for any sensor. Proof-of-concept with lidars in the manuscript.
  • Key Limitations: Errors in maps, data association challenges, high costs for large-scale maps, and lack of detailed visual description.
Detectors trained with automatically annotated data significantly enhance localization accuracy, achieving notable improvements with both cameras and lidars.

Perspectives







  • Automatic annotation : Additional sources, other landmarks, semantics, uncertainty.
  • Pole detection : Annotation uncertainty, model alternatives, robustness to variations.
  • Localization: Integrity, data association.
  • General: Map correction, calibration.

Associated Publications

  • Missaoui, Benjamin, Maxime Noizet, and Philippe Xu “Map-aided annotation for pole base detection”. In: IV23. Anchorage, Alaska, USA.
  • Maxime Noizet, Philippe Xu, and Philippe Bonnifait “Pole-Based Vehicle Localization With Vector Maps: A Camera-LiDAR Comparative Study”. In: ITSC23, Bilbao, Spain.
  • Maxime Noizet, Philippe Xu, and Philippe Bonnifait “Automatic Image Annotation for Mapped Features Detection”. In: IROS24, Abu Dhabi, United Arab Emirates.


  • Vilalta Estrada, Laia, Cristina Munoz Garcia, Enrique Dominguez Tijero, Maxime Noizet, Philippe Xu, Su Yin Voon, Stan Guerassimov, and Wesley W. Cox. “ERASMO – Enhanced Receiver for AutonomouS MObility”. In: 15th ITS European Congress. 2023. Lisbon, Portugal.
  • Ph. Xu, M. Noizet, L. Vilalta Estrada, J. Ibañez-Guzmán, E. Starwiarski, P. Nemry, S. Y. Voon, W. Fox and K. Callewaert. High integrity navigation for intelligent vehicles. In International Technical Meeting of the Satellite Division of The Institute of Navigation (ION GNSS+), Denver, Colorado, USA, September 11-15, 2023.

Thank you for your attention !

Appendices




Training with Pointwise Automatic Annotations

Learning on manually annotated data

  • Higher recall reachable
  • Optimal box size: 25x25
Annotation noise impacts box size choice → Room for improvement.

Appendices




Multi-sensor localization

Kalman filter

  • Vehicle state: \(\boldsymbol{x}_{k} = \left[x_{B,k}, y_{B,k}, \theta_{B,k}, v_{k}, \dot{\theta}_{k} \right]^{\top}\) + Constant velocity evolution model

  • GNSS observations

\[\begin{align} \boldsymbol{z}^{\text{G}}_k = \begin{bmatrix} x_{B,k} \\ y_{B,k} \\ \theta_{B,k} \end{bmatrix} + \begin{bmatrix} \cos\theta_{B,k} & -\sin\theta_{B,k} & 0 \\ \sin\theta_{B,k} & \cos\theta_{B,k} & 0 \\ 0 & 0 & 1 \end{bmatrix} \begin{bmatrix} t_x\\ t_y \\ 1 \end{bmatrix} + \boldsymbol{\beta}^\text{G}_k \end{align}\]

  • Wheel speeds

\[\begin{equation} \left\{\begin{aligned} \boldsymbol{z}^{\text{W}_{rl}}_k &= \frac{2\pi}{\rho_{rl}}\left(v_k - \frac{\ell_r}{2}\dot{\theta}_k \right) + \boldsymbol{\beta}^{\text{W}_{rl}}_k\\ \boldsymbol{z}^{\text{W}_{rr}}_k &= \frac{2\pi}{\rho_{rr}}\left(v_k + \frac{\ell_r}{2}\dot{\theta}_k \right) + \boldsymbol{\beta}^{\text{W}_{rr}}_k \\ \boldsymbol{z}^{\text{W}_{fl}}_k &= \frac{2\pi}{\rho_{fl}} \sqrt{\ell_{rf}^2\dot{\theta}_k^2 + \left(v_k - \frac{\ell_f}{2} \dot{\theta}_k\right)^2} + \boldsymbol{\beta}^{\text{W}_{fl}}_k \\ \boldsymbol{z}^{\text{W}_{fr}}_k &= \frac{2\pi}{\rho_{fr}} \sqrt{\ell_{rf}^2\dot{\theta}_k^2 + \left(v_k + \frac{\ell_f}{2} \dot{\theta}_k\right)^2} + \boldsymbol{\beta}^{\text{W}_{fr}}_k \end{aligned}\right. \end{equation}\]

  • yaw rate \(\boldsymbol{z}^{\text{Y}}_k = \dot{\theta}_k + \boldsymbol{\beta}^{\text{Y}}_k\)

Kalman filter: Camera measurements

  • Detections

\[\begin{align} {}^{\text{C}} \boldsymbol{Y}^{\alpha}_k = \left\{\left. {}^{\text{C}}\boldsymbol{y}^{\alpha}_{k,i}=\alpha_{k,i}\in\left[-\pi;\pi\right)\right| i=1,\ldots \right\} \end{align}\] \[\begin{align} \alpha_{k,i} = atan\left(\frac{u_{k,i} - c_x}{f_x}\right) \end{align}\]

  • Projected map

\[\begin{align} {}^{\text{C}} \boldsymbol{\mathcal{M}}^{\alpha}_k=\left\{\left.{}^{\text{C}}\boldsymbol{m}^{\alpha}_{k,j}=\alpha_{k,j}\in\left[-\pi;\pi\right)\right|j=1,\ldots \right\} \end{align}\]

  • Chosen distance for hungarian method

\[\begin{align} \mathcal{D}^\text{C}_{k,i,j} = \left( {}^{\text{C}} \boldsymbol{y}^{\alpha}_{k,i} - {}^{\text{C}}\boldsymbol{m}^{\alpha}_{k,j}\right)^2 \end{align}\]

  • Observation model

\[\begin{equation} {}^{\text{C}} \boldsymbol{y}^{\alpha}_{k,i} = {}^{\text{C}}\boldsymbol{m}^{\alpha}_{k,j} + \boldsymbol{\beta}^\alpha_{k,i} \end{equation}\]

Kalman filter: Covariances

Covariance
Evolution model \(\left[10^{-2}, 10^{-2}, 10^{-2}, 10^2, 10^{-1}\right] \cdot \mathbb{I}_{5}\)
Wheel speeds \(0.273^{2} \cdot \mathbb{I}_{4}\)
Yaw rate \(10^{-12}\)
Bearings \(4 \cdot 10^{-4}\)

Localization results: Ranking

Localization reference for data association: Ranking

Results with PPP-RTK

Appendices




Lidar integration

Lidar: Map-based annotation




  • Data association between map points and clusters

Lidar: Lidar-based annotation

Lidar: Principal Component Analysis (PCA)

Points \[ X = \begin{pmatrix} x_0 & x_1 & \dots & x_N \\ y_0 & y_1 & \dots & y_N \end{pmatrix} \]

Mean

\[ \bar{X} = \begin{pmatrix} \bar{x} \\ \bar{y} \end{pmatrix} \]

Lidar: PCA - Covariance matrix

\[ Cov = \frac{ \left(X - \bar{X}\right) \cdot \left( X - \bar{X} \right)^T }{ N - 1 } \]

Lidar: PCA - Eigenvectors and eigenvalues

\[ Cov = Q \cdot \Gamma \cdot Q^{-1} \]

\[ Q = \begin{pmatrix} \color{red}{v_1^x} & \color{green}{v_2^x} \\ \color{red}{v_1^y} & \color{green}{v_2^y} \end{pmatrix} \]

\[ \Gamma = \begin{pmatrix} \color{red}{\sigma_1^2} & 0 \\ 0 & \color{green}{\sigma_2^2} \end{pmatrix} \]

Lidar: PCA - Rules

  • Normalized eigenvalues \[\begin{align*} e_1 &= \lambda_1/(\lambda_1+\lambda_2+\lambda_3) \\ e_2 &= \lambda_2/(\lambda_1+\lambda_2+\lambda_3) \\ e_3 &= \lambda_3/(\lambda_1+\lambda_2+\lambda_3) \end{align*}\]
  • Geometric properties:

    • \(linearity = (e_1-e_2)/e_1\)
    • \(planarity = (e_2-e_3)/e_1\)
    • \(sphericity = e_3/e_1\)
    • \(omnivariance = \sqrt[3]{e_1e_2e_3}\)
    • \(anisotropy = \frac{e_1-e_3}{e_1}\)
    • \(eigenentropy = \sum_{k=1}^3 -e_klog(e_k)\)
    • \(surface variation = e_3%\frac{e_3}{\sum_{k=1}^3 e_k}\)
    • \(verticality=\left| \frac{\pi}{2} - angle\left(v_z, v_{(1)}\right)\right|%{i\in(0,1,2)}\)
Expert rules VS Random forests using automatic annotations

Kalman filter: Lidar measurements

  • Detections

\[\begin{align} {}^{\text{L}}\boldsymbol{Y}^{\text{L}}_k = \left\{ \left. {}^{\text{L}}\boldsymbol{y}^{\text{L}}_{k,i} = \left({}^{\text{L}}x^{\text{L}}_{k,i},{}^{\text{L}}y^{\text{L}}_{k,i}\right) \right| i=1,\ldots \right\}, \end{align}\]

  • Projections in map frame

\[\begin{align} {}^{\text{O}}\boldsymbol{Y}^{\text{L}}_k = \left\{ \left. {}^{\text{O}}\boldsymbol{y}^{\text{L}}_{k,i} = \left({}^{\text{O}}x^{\text{L}}_{k,i},{}^{\text{O}}y^{\text{L}}_{k,i}\right) \right| i=1,\ldots \right\}, \end{align}\]

  • Chosen distance for hungarian method: Mahalanobis distance

\[\begin{equation} \mathcal{D}^{\text{mah}}_{m,y}= \sqrt{(m -y)^\top R^{-1} (m-y)^\top} \end{equation}\]

  • Observation model

\[\begin{equation} {}^{\text{L}}\boldsymbol{y}^{\text{L}}_{k,i} = {}^{\text{L}}\boldsymbol{m}_{k,j} + \boldsymbol{\beta}^L_{k,i} \end{equation}\]

  • Covariance \(0.25^2\times {I}_{2}\)

Lidar: localization results

Lidar with motion compensation: localization results

Lidar with motion compensation: Results with PPP-RTK